DataStructures
Arrays:
- Collection of “Similar Type of Data Elements” stored in a “contiguous location”.
Operations:
Case 1: Unsorted Array
Search:
a=[5 2 1 3 4 6 -2]
num = 5
nun index of num in a[] , if not found return -1
Approach: Traverse each value one by one and check if a[i == num Best case:O(1) , num == a[0] Worst Case: O(N), Element not found Operation Time Space
Search O(N) O(1) Insert Delete
SubArray: Contiguous Smaller Array of Large Array
a[] = [5,1,3,2,4,6] ex: [1,3] :YES , [1,3,2] :YES [1,3,4] : NO
SubSequence: Smaller Array from the Larger Array, Does not Necessarily Contiguous But ORDER must be maintained.
Eg: [1,3] :YES [1,3,2] : YES [1,3,4] : YES [1,3,6,4] : NO
SubSet: ANY COMBINATION Smaller Subset of Array. Does Not Necessarily Contiguous and Order Does not matter. Eg:
2D Arrays:
-
int[][] = new int[5][6];
-
Transpose of a matrix : you have a square 2d matrix.return the transpose of a given matrix. i.e convert all the columns into rows.
LinkedList
- When the spaces are not available together we are not able to store in array with large size , it may throw throw stack over flow, and came up with Linked List.
- So along with value we should store address of next node.
Add the element at the start:
Node node = new Node(10);
node.next = head
head =node
Add the element at the end:
Node temp = head;
while(temp!=next){
temp = temp.next;
}
temp.next = node;
node.next = null
Add the element in the middle: we need to pass the index
Node temp = head;
for(int i = 0 ; i<index-1;i++){
temp = temp.next;
}
Node temp1 = temp.next;
Node temp2 = temp1.next;
temp1.next = node;
node.next = temp2;
Stack
- In dynamic array we can add element at any index , but if I restrict the operations to add at last and remove at last.This data structure is known as Stack.
- This will automatically follow LIFO (last in first out).
- For example you are elements into stack 10 20 30 40 50
- It will look like 50 40 30 20 10
- If you want to remove element, you can only remove 50. Now the stack looks like 40 30 20 10 , now if we remove again we will get 40.
- push() → to add an element.
- peek() → get the top element.
- size() → size of the stack.
- pop() —> remove the element.
Queue
- Add at end, but remove from first.
- FIFO(first in first out).
- offer() → to add the element.
Tree
- If you want to store hierarchical data.
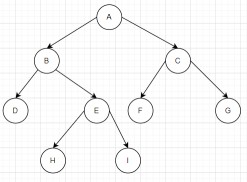
- Nomenclature in tree:
- root node - the top most node of the hierarchy.
- parent node - here B, E,C are the parent node.
- child node - successors of given node.
- child node(C) -F ,G
- child node(B) - D,E
- siblings - nodes with common parent.
- leaf node - nodes with zero children.
- ascendants - all the nodes above that given node. For ex: ascendants of I - E,B,A (root node)
-
descendants - all the nodes below the given node.
-
Height of a node: take out the path from that given node to all other leaf nodes. length in terms of edge.
- Height of A:
- A-C-F (2) 2. A-C-G(2) 3. A-B-E-I (3) 4. A-B-D-H(3)
- we need to consider maximum length as the height of the node. So here the maximum length is 3.
- Depth of Node:take out the path from that root node to the that node.
Heap
- Priority Queue: removes highest priority element. gives prior to lower value if its default priority queue. 50 10 20 30 70 remove() - 10
HashMap
India -138 Pakistan - 22 Nepal - 3 USA -33 key -value pair
HashSet
- duplicates will not be added
- only keys in map will be added as values in set.
Graphs
- It is nothing but collection of nodes, connected to each other using edges.
Real Time Examples: 1. Facebook friends 2. Google Maps
Trees vs Graphs
- In trees there is a unique node which is known as root. , in graphs no unique node which is known as root.
- Hierarchy is clearly defined . no hierarchy in graphs.
- Treed cannot form a cycle. Graphs can form cycle.
Classification of graphs:
Case 1 :
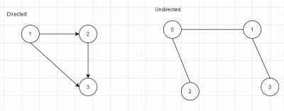
Directed and Undirected.

Case 2 :
Case 3:
Undirected Cyclic growth and Undirected Acyclic graph
Case 4 : Directed Cyclic and Directed Acyclic graph
Input of a Graph: assume graph is undirected . the first line will have 2 integers one is no.of nodes and other is no. of edges.
7 8
0 1
0 3
1 2
3 2
3 4
6 5
4 5
Dynamic Programming
- Optimization over recursion.
-
Storing the results of previous states.
-
Those who don’t remember the past are commended to repeat it.
- Overlapping sub problem
-
- Top down approach – recursive (memoization / keep in memory (arrays , hashmaps))
-
- Bottom up approach – iterative
Greedy:
- Find me the BEST Solution Now.
- DON’T THINK FOR FUTURE.
BackTracking
(true or false) (0 or 1) (possible or not possible)
- Optimisation Over Brute Force (Exhaust All possible options)
state space tree
Hashing: 1.Encryption and decryption are both are part of hashing. 2.shortening url 3.cryptography algos : sha 256,md5,rsa
Rolling Hash KMP/Rabin Karp - String matching Algos
Prime Number: Efficient Hash Function P = 10^9+9 h() = s[0]+(pi+pi^2+p*i^3…) mod p


